помогите решить пожалуйста
Приложения:

olgaua64:
Метод интервалов поможет найти решения
Ответы
Ответ дал:
1
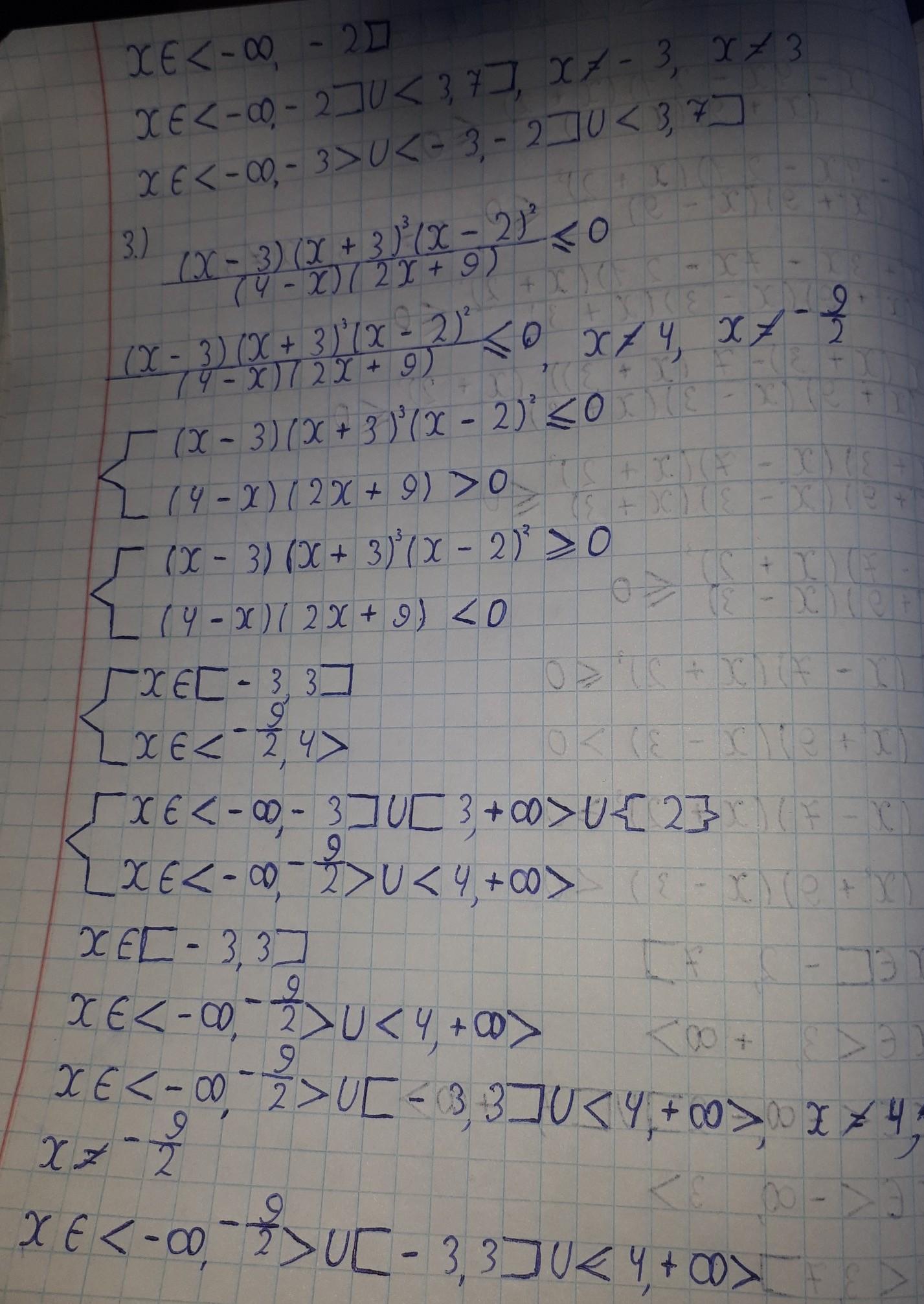
Ответ:
решение в файле.....
Пошаговое объяснение:
Приложения:

Ответ дал:
1
все на фото..............
Приложения:



Вас заинтересует
2 года назад
2 года назад
7 лет назад
7 лет назад
9 лет назад
9 лет назад