• Предмет: Физика
  • Автор: igortrof2005
  • Вопрос задан 3 года назад

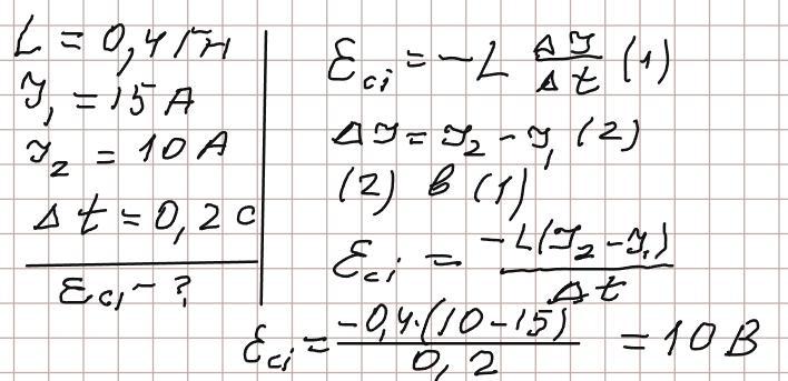
Чому дорівнює ЕРС самоіндукції в котушці з індуктивністю 0,4 Гн при рівномірному зменшенні сили струму з 15 до 10 А за 0,2 с?

Ответы

Ответ дал: zybkov1950
1

Відповідь: 10 В

Пояснення:

Приложения:

igortrof2010: 10
Вас заинтересует