• Предмет: Физика
  • Автор: Spasibo04
  • Вопрос задан 3 года назад

ПОЖАЛУЙСТА ПОМОГИТЕ решить задачу

Приложения:

Ответы

Ответ дал: s4ndstrm
1

держи ===================

Приложения:

Spasibo04: Спасибо❤️
Ответ дал: zybkov1950
1

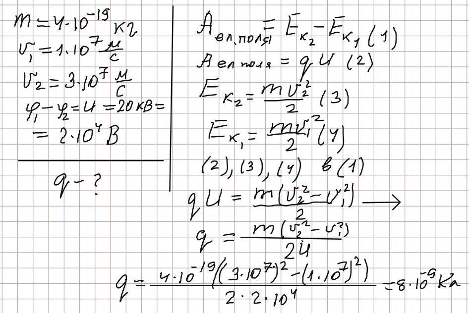
Відповідь: 8 нКл

Пояснення:

Приложения:
Вас заинтересует