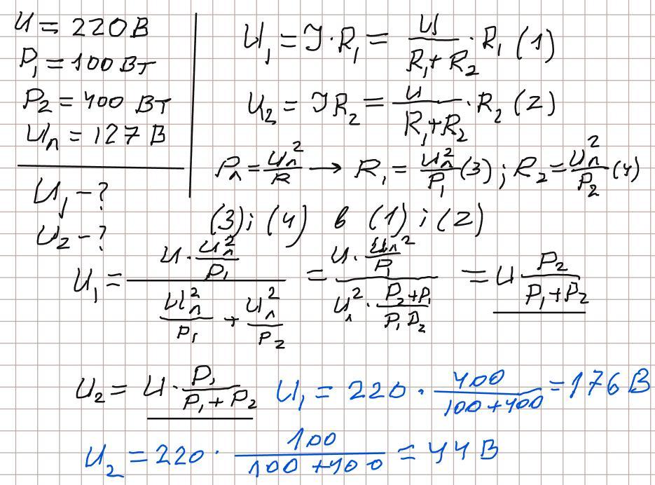
Срочно!!!У мережу напругою U=220 В включені послідовно дві електричні лампи потужністю P1=100вт і P2=400вт, розраховані на напругу Uл=127в. Яка напруга буде на кожній лампі?
Ответы
Ответ дал:
0
Відповідь: U₁=176 В U₂=44 B
Пояснення:
Приложения:

Вас заинтересует
2 года назад
2 года назад
2 года назад
2 года назад
7 лет назад
9 лет назад