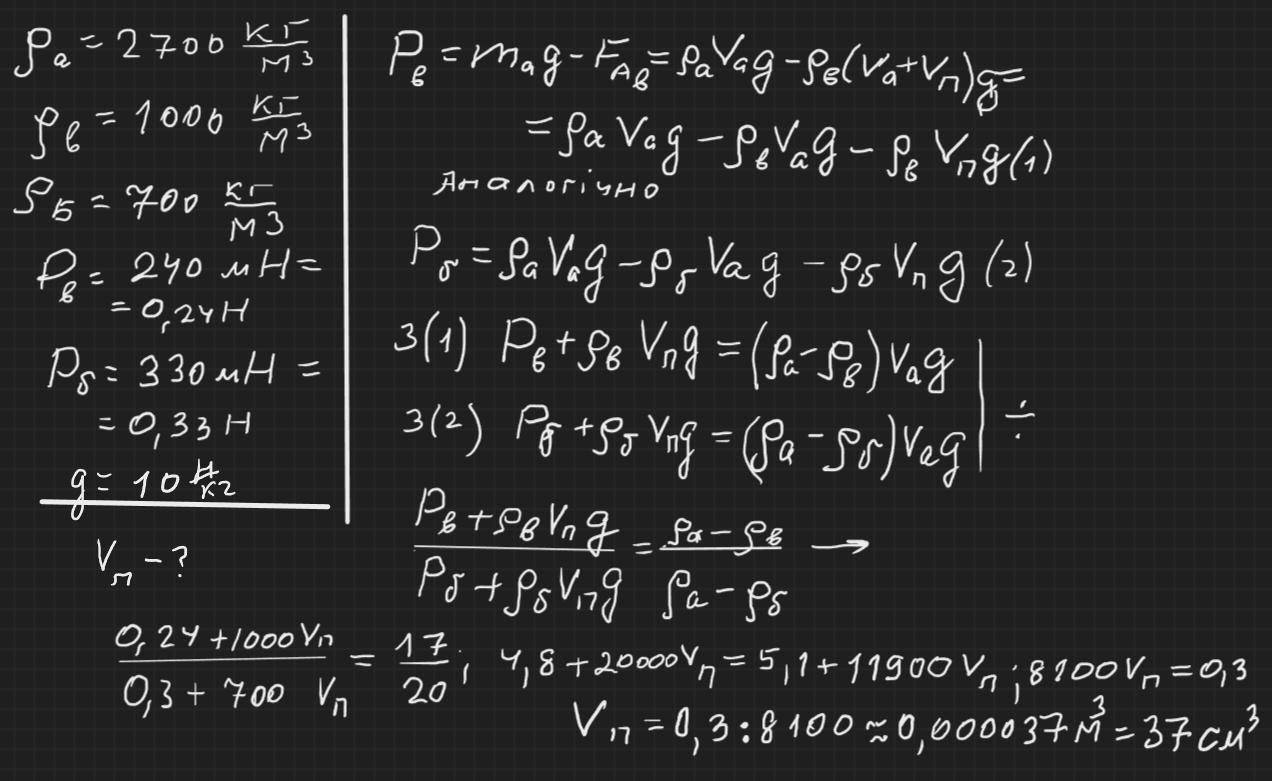
Вага порожньої алюмінієвої кульки у воді P, = 240 м,
а у бензин P = 330 мН. Визначити об'єм порожнини.
cevizlisucuk:
salam
Ответы
Ответ дал:
1
Відповідь: 37 см³
Пояснення:
Приложения:

Вас заинтересует
2 года назад
2 года назад
2 года назад
2 года назад
7 лет назад
9 лет назад
9 лет назад