Ответы
Ответ дал:
1
Відповідь: 2
Покрокове пояснення:
Приложения:

Ответ дал:
0
Ответ:
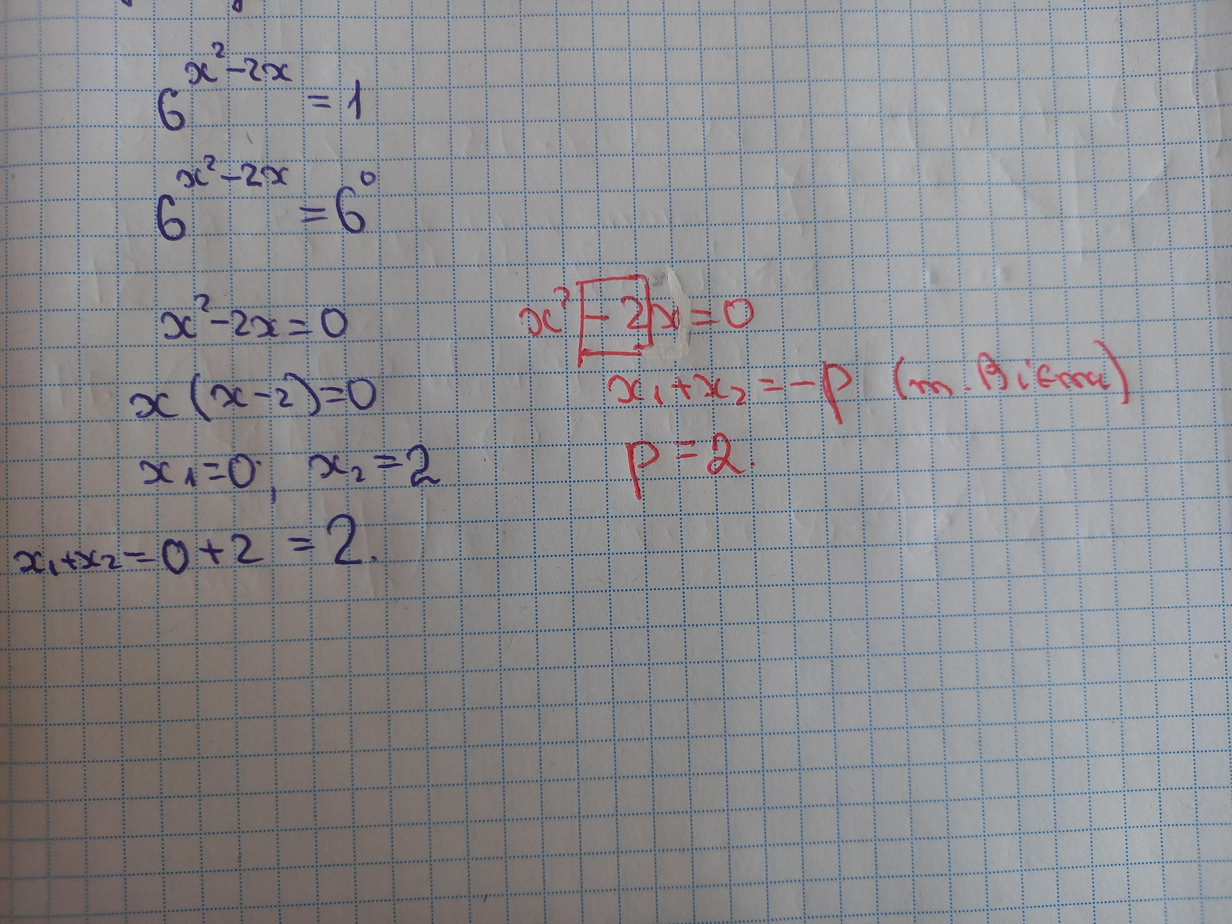
сумма корней уравнения равна 2
Пошаговое объяснение:
6^0=1.
Шесть только в нулевой степени будет равно 1.
Значит степень равна 0.
Решение на фото.
Приложения:

Вас заинтересует
2 года назад
2 года назад
2 года назад
2 года назад
7 лет назад
7 лет назад