• Предмет: Физика
  • Автор: daundeadinside228
  • Вопрос задан 3 года назад

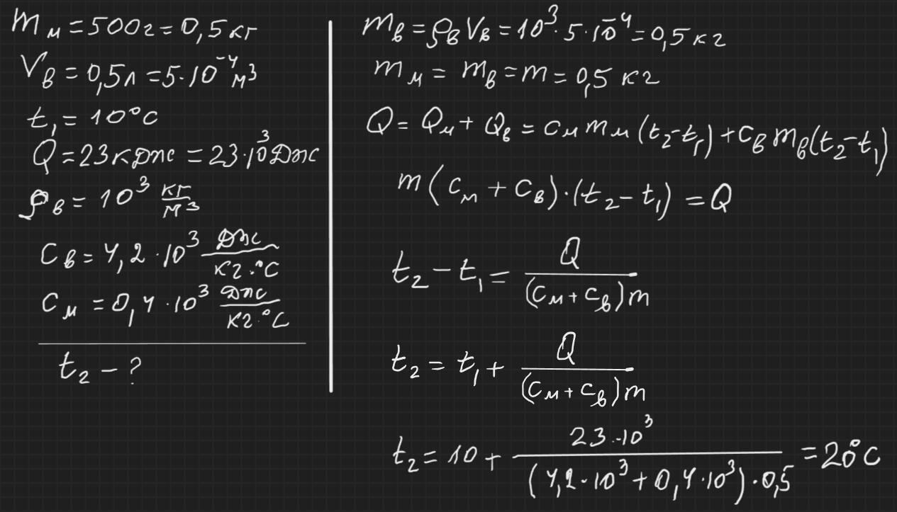
Мідний чайник масою 500 г містить 0,5 л води при температурі 10 С. Чайнику було надано кількість теплоти 23 кДж. До якої температури нагрілася вода? Теплові втрати не враховуйте. Питома теплоємність міді 400 Дж/(кг  С).​

Ответы

Ответ дал: fenix6810
2

Ответ:

вода нагреется до 20°С

Объяснение:

Медный чайник массой 500 г содержит 0,5 л воды при температуре 10 С. Чайнику было придано количество теплоты 23 кДж. До какой температуры нагревается вода? Тепловые потери не учитывайте. Удельная теплоемкость меди 400 Дж/(кг  С).​

пусть х температура воды и чайника.

х-10 разница температур.

на нагрев чайника уйдет

Q1=m1*ΔT*μ

μ Удельная теплоемкость меди

на нагрев воды

Q2=m2*ΔT*ρ

ρ Удельная теплоемкость воды

Q1+Q2=ΔT*(m1μ+m2ρ)

m1=0,5 кг

m2=0,5 кг

23=(0,5*0,4+0,5*4,19)*(x-10)

23=(x-10)*2,295

x-10=23/2,295

x-10=10,021≈10

x≈20

Ответ дал: zybkov1950
8

Відповідь: 20 ⁰С

Пояснення:

Приложения:
Вас заинтересует