• Предмет: Алгебра
  • Автор: Аноним
  • Вопрос задан 3 года назад

Найбільший спільний дільник 26 і 18,срочно!​

Ответы

Ответ дал: aarr04594
5

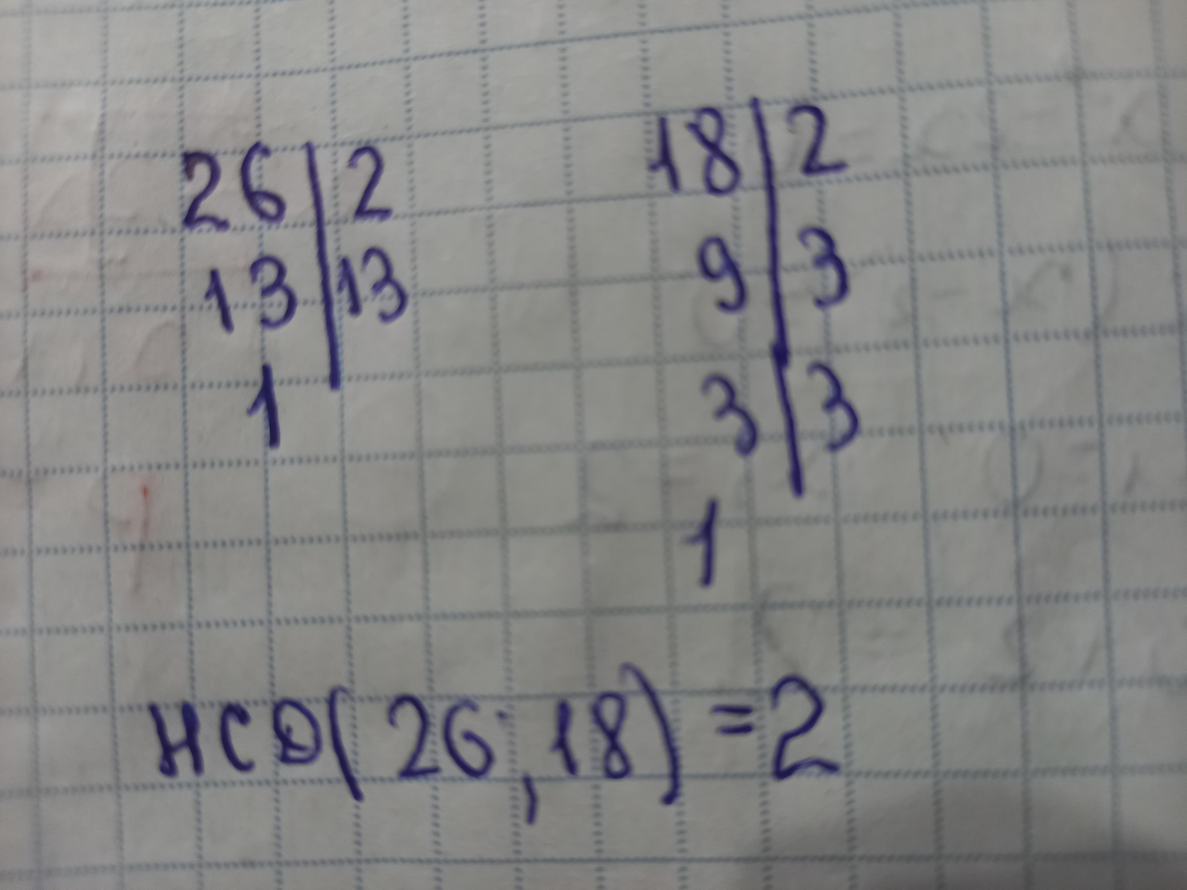
Відповідь: 2

Пояснення: фото

Приложения:
Вас заинтересует