• Предмет: Алгебра
  • Автор: ArtemKushnir212
  • Вопрос задан 3 года назад

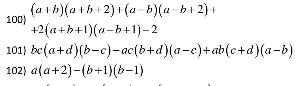
помогите разложить на множники​

Приложения:

Ответы

Ответ дал: theasompain
1

101 не смог решить простите. удачи!

Приложения:
Вас заинтересует