• Предмет: Алгебра
  • Автор: shtifrudolf
  • Вопрос задан 3 года назад

2 часть решите уровнения
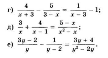
Дробно рациональные уровнения​

Приложения:

Ответы

Ответ дал: dobra888
0

Відповідь:

Пояснення:

     г)  4/( x + 3 ) - 5/( 3 - x ) = 1/( x - 3 ) - 1 ;         ОДЗ :  x ≠ ± 3 ;

        4/( x + 3 ) + 5/( x - 3 ) - 1/( x - 3 ) + 1 = 0 ;

        4/( x + 3 ) + 4/( x - 3 ) + 1 = 0 ;  │X ( x² - 9 ) ≠ 0

        4( x - 3 ) + 4( x + 3 ) + ( x² - 9 ) = 0 ;

         4x - 12 + 4x + 12 + x² - 9 = 0 ;

           x² + 8x - 9 = 0 ;

            x₁ = - 9 ;   x₂ = 1  .   - 9  i  1 Є ОДЗ .

     В  -  дь :  - 9  i  1 .

      д)   3/x + 4/( x - 1 ) = ( 5 - x )/( x² - x ) ;       ОДЗ :  x ≠ 0 ,  x ≠ 1 ;

        3/x + 4/( x - 1 ) - ( 5 - x )/[x( x - 1 ) ]  = 0 ;  │X  x( x - 1 )

        3( x - 1 ) + 4x - ( 5 - x ) = 0 ;

        3x - 3 + 4x - 5 + x = 0 ;

         8x - 8 = 0 ;

         8x = 8 ;

           x = 1 ;       x = 1 ∉ ОДЗ .

    В  -  дь :  хЄ ∅ .

     е)  Аналогічно прикладу д) .

           

Вас заинтересует