• Предмет: Алгебра
  • Автор: Vovchik0528
  • Вопрос задан 3 года назад

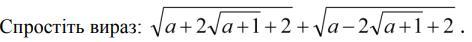
Упростить выражение:

Приложения:

Ответы

Ответ дал: Universalka
1

\displaystyle\bf\\1) \  \ \sqrt{a+2\sqrt{a+1}+2 } +\sqrt{a-2\sqrt{a+1}+2 } =\\\\\\=\sqrt{a+1+2\sqrt{a+1}+1 } +\sqrt{a+1-2\sqrt{a+1}+1 } =\\\\\\=\sqrt{\Big(\sqrt{a+1}\Big)^{2} +2\sqrt{a+1}+1  } +\sqrt{\Big(\sqrt{a+1}\Big)^{2} -2\sqrt{a+1}+1  } =\\\\\\=\sqrt{\Big(\sqrt{a+1} +1\Big)^{2} } +\sqrt{\Big(\sqrt{a+1} -1\Big)^{2} } =\Big|\sqrt{a+1} +1\Big|+\Big|\sqrt{a+1} -1\Big|=\\\\\\=\sqrt{a+1} +1+1-\sqrt{a+1} =2 \  \ \ ; \  -1\leq a\leq 0\\\\2)

\displaystyle\bf\\a > 0 \  \  \ \ \Rightarrow \  \ \Big|\sqrt{a+1} +1\Big|+\Big|\sqrt{a+1} -1\Big|=\sqrt{a+1} +1+\sqrt{a+1} -1=2\sqrt{a+1}


Alnadya: это для a<0 и а=0 , а для а>0 ?
Alnadya: точнее для -1<=a<=0
Вас заинтересует