• Предмет: Физика
  • Автор: nastyaandrukhovich
  • Вопрос задан 3 года назад

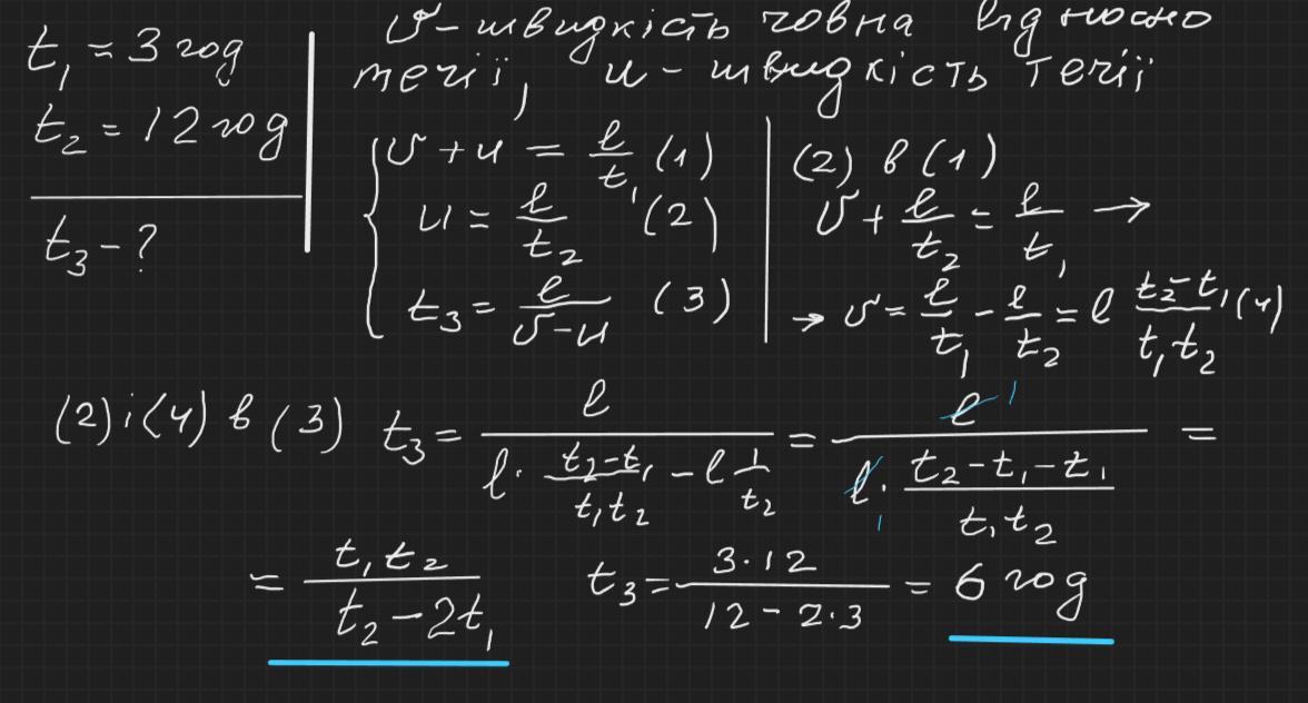
моторный човен проходить відстань між двома пунктами А і В за течією річки 3 год,а поіт -за 12 год. Скільки часу моторний човен затратить на зворотний шлях

Ответы

Ответ дал: zybkov1950
2

Відповідь: 6 год

Пояснення:

Приложения:
Ответ дал: p15
1

Ответ:

Объяснение:

Пусть скорость лодки x, а скорость течения y. Используем формулу S=vt

S=3(x+y)

S=12y

_____________

S/(x-y)-?

S=12y => y=S/12

S=3(x+S/12)

S=3x+S/4

x=S/4 (здесь видно что без течения лодка проходит расстояние от А до B  за 4 часа).

S/(x-y)=S/(S/4-S/12)=S/((3-1)*S/12)=S/(S/6)=6 часов.

Вас заинтересует