• Предмет: Математика
  • Автор: tftffff18
  • Вопрос задан 3 года назад

Помогите, пожалуйста ​

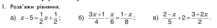
Приложения:

Ответы

Ответ дал: mwayfr
0

Ответ:

Пошаговое объяснение:

a) x - 5 = 1/2x + 1/2 | *2
2x - 10 = x + 1

2x - x = 1 +10

x = 11

б) (3x + 1) / 4 - x/6 = (1-x)/8 | *24

6(3x+1) - 4x = 3(1-x)

18x + 6 - 4x = 3 - 3x

14x + 3x + 3 - 6

17x = -3

x = -3/17 = -0.17

в) (2-x) / 5 + 2 = (3+2x) / 2 | *2

2(2-x) + 20 = 5(3+2x)

4 - 2x + 20 = 15 + 10x

24 - 2x = 15 + 10x

-2x - 10x=15 - 24

-12x = -9

x = 3/4 = 0.75

Вас заинтересует