• Предмет: Математика
  • Автор: funcgkf
  • Вопрос задан 3 года назад

Помогите пожалуйста ​

Приложения:

Ответы

Ответ дал: iramazurk
1

Пошаговое объяснение:

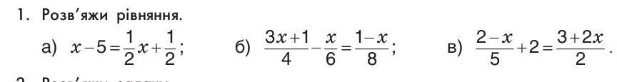
А)

х - 5 = 1/2х + 1/2

х - 1/2х = 1/2 + 5

1/2х = 5. 1/2

1/2х = 11/2

х = 11/2 : 1/2

х = 11/2 * 2/1

х = 11/1

х = 11

Б)

(3х + 1)/4 - х/6 = (1 - х)/8 | * 24

6(3х + 1) - 24х/6 = 3(1 - х)

18х + 6 - 4х = 3 - 3х

18х - 4х + 3х = 3 - 6

17х = -3

х = -3 : 17

х = -3/17

В)

(2 - х)/5 + 2 = (3 + 2х)/2 | * 10

2(2 - х) + 10*2 = 5(3 + 2х)

4 - 2х + 20 = 15 + 10х

-2х - 10х = 15 - 4 - 20

-12х = -9

х = -9 : (-12)

х = 9/12

х = 3/4

Ответ дал: NNNLLL54
0

Ответ:

1)\ \ x-5=\dfrac{1}{2}\, x+\dfrac{1}{2}\ \ \Big|\cdot 2  

Чтобы освободиться от знаменателя, умножаем уравнение на 2.

2x-10=x+1\\\\2x-x=1+10\\\\\bf x=11  

2)\ \ \dfrac{3x+1}{4}-\dfrac{x}{6}=\dfrac{1-x}{8}\ \ \ \Big|\cdot 24  

Чтобы освободиться от знаменателя, умножаем уравнение на 24.

6(3x+1)-4x=3(1-x)\\\\18x+6-4x=3-3x\\\\14x+3x=3-6\\\\17x=-3\\\\\bf x=-\dfrac{3}{17}

3)\ \ \dfrac{2-x}{5}+2=\dfrac{3+2x}{2}\ \ \Big|\cdot  10  

Чтобы освободиться от знаменателя, умножаем уравнение на 10.

2(2-x)+2\cdot 10=5(3+2x)\\\\4-2x+20=15+10x\\\\24-15=10x+2x\\\\12x=9\\\\x=\dfrac{9}{12}\\\\\bf x=\dfrac{3}{4}    

Вас заинтересует