• Предмет: Математика
  • Автор: byraksvitlana
  • Вопрос задан 3 года назад

Знайдіть найбільший спільний дільник і найменше спільне кратне чисел а i b, якщо а = 2²•3•7 i b = 2*•3²•7



срочно!!! пж​

Ответы

Ответ дал: ildar502020
1

Ответ:  42. 252.

Пошаговое объяснение:

Найдите самый большой общий делитель и наименьшее общее кратное чисел а i b, если

а = 2²•3•7;  

b = 2*•3²•7;

--------

Чтобы найти НОД чисел, необходимо перемножить их общие множители:

НОД(a;b)=2*3*7=42.

Чтобы определить НОК, необходимо недостающие множители добавить к множителям большего числа и перемножить их:

НОК(a;b)=2^2*3^2*7=252.

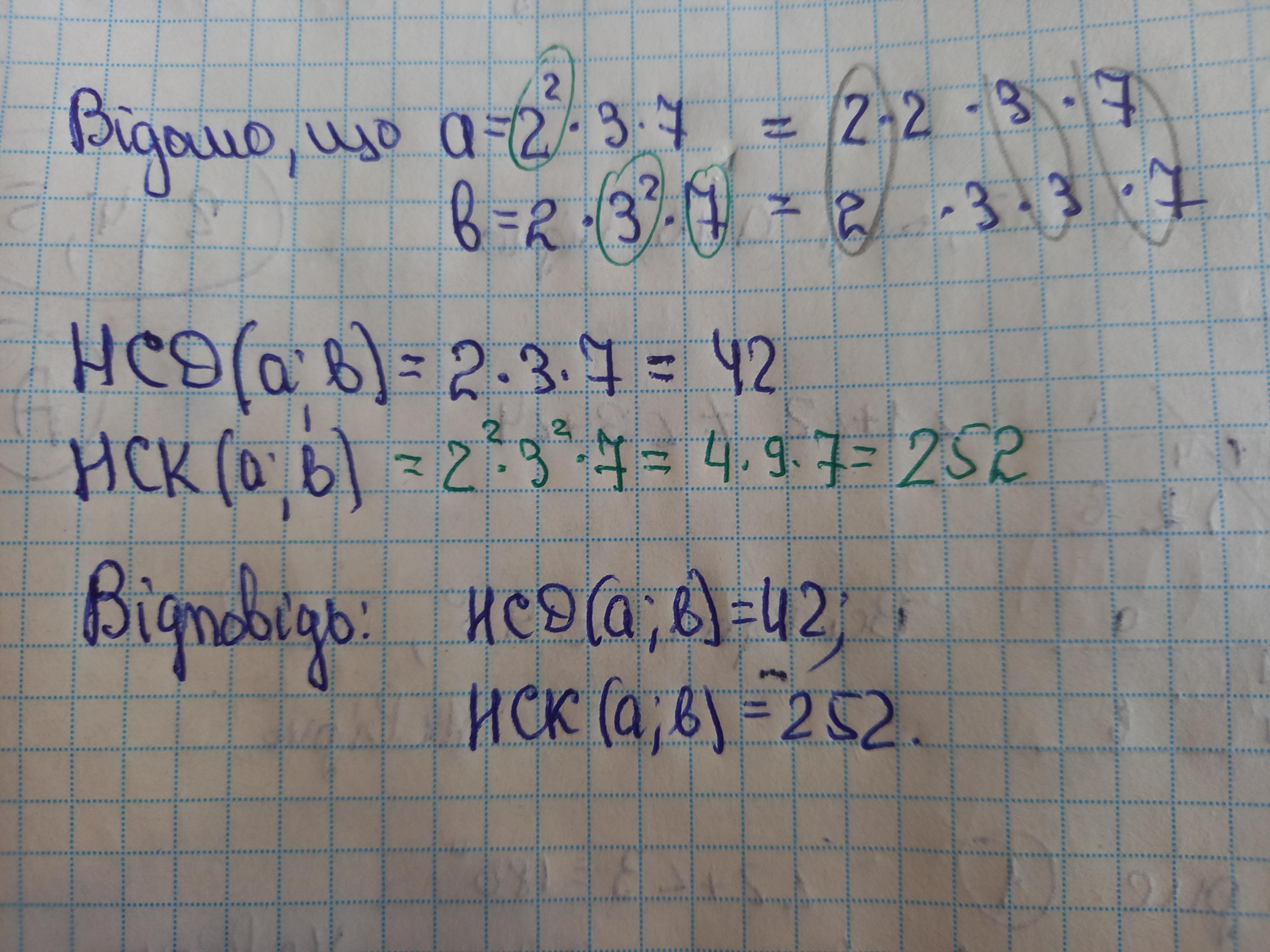
Ответ дал: aarr04594
2

Вітаю. 42 та 252.

Розв'язання Завдання додаю

Приложения:
Вас заинтересует