• Предмет: Математика
  • Автор: svinka114
  • Вопрос задан 3 года назад

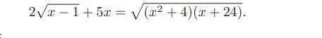
Решить уравнение. Кто-нибудь может помочь?

Приложения:

antonovm: есть красивое решение ( векторное ) , без возведения в квадрат , но кто-то уже пишет , посмотрим
antonovm: решение чуть позже

Ответы

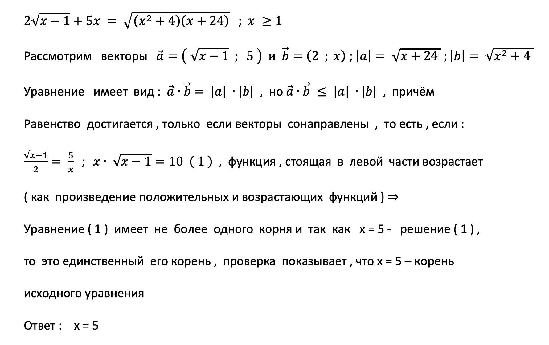
Ответ дал: antonovm
2

Ответ:

x = 5 ............................

Пошаговое объяснение:

Приложения:

GoldenVoice: Браво!
Вас заинтересует