• Предмет: Физика
  • Автор: nastia859
  • Вопрос задан 3 года назад

Реактивний літак злітає з аеропорту зі швидкістю 540 км/год , пробігши по злітній смузі 1,4 км . З яким прискоренням рухався літак і скільки часу тривав пробіг?

(Потрібно розписати задачі, бажано на малюнку чи карточці)

Ответы

Ответ дал: p15
1

Ответ:

v=540 км/год= 150м/c

v0=0 км/год

S=1.4 км=1400м

__________

a-?

t-?

Не люблю решать заумно. Все будет очень лаконично.

при v0=0 км/год

S=at²/2

v=at

S=vt/2 => t=2S/v

v=at => a=v/t => a=v/(2S/v)=v²/2S

Осталось подставить

t=2*1400/150≈18.67 c

a=150²/(2*1400)≈8.04 м/c²

Ускорение было даже меньше g, что было достаточно комфортно для клиентов.

Летайте самолетами нашей компании.

Объяснение:


nastia859: Дуже дякую! Надіюсь це правильна відповідь до задачі ! Гарного настрою!!!!!!!!
p15: Перепроверяйте. Я все расписал. В формулах вряд ли ошибка (размерность совпадает), дальше мог ошибиться, как человек, но ответ проанализирован. Похоже на правду.
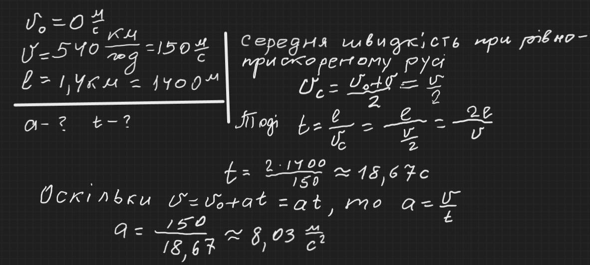
Ответ дал: zybkov1950
0

Відповідь: ≈8,03 м/с     ≈18,67 с

Пояснення:

Приложения:
Вас заинтересует