• Предмет: Физика
  • Автор: nastia859
  • Вопрос задан 3 года назад

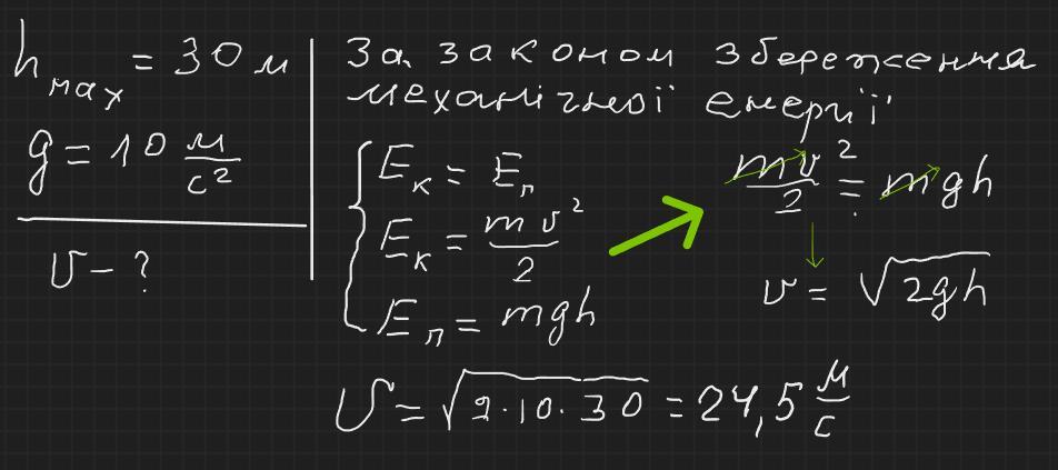
з якою найменшою швидкістю треба кинути тіло вертикально вгору, щоб воно досягло висоти 30 м?

Ответы

Ответ дал: zybkov1950
2

Відповідь: ≈ 24,5 м/с

Пояснення:

Приложения:
Вас заинтересует