Ответы
Ответ дал:
0
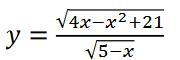
Ответ D(y) = [-3; 5)
Объяснение:
Приложения:

Вас заинтересует
2 года назад
2 года назад
2 года назад
7 лет назад
7 лет назад
9 лет назад