• Предмет: Физика
  • Автор: Popovichinna1970110
  • Вопрос задан 3 года назад

7 допоможіть будь-ласка

Приложения:

zybkov1950: А ще менше балів за дві задачі запропонувати не змогли?
Popovichinna1970110: Я тільки вчора тут зареєструвалась тому не знаю скільки потрібно балів вказувати, будь-ласка допоможіть вирішити 7 задачу я її у профілі виставлю і бали вище зроблю

Ответы

Ответ дал: zybkov1950
0

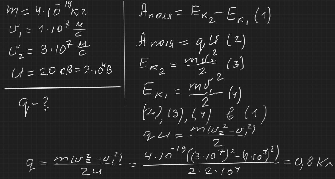
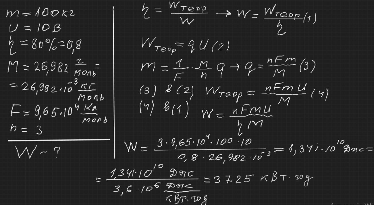
Відповідь: Див. додаток

Пояснення:

Приложения:
Вас заинтересует