Ответы
Ответ дал:
1
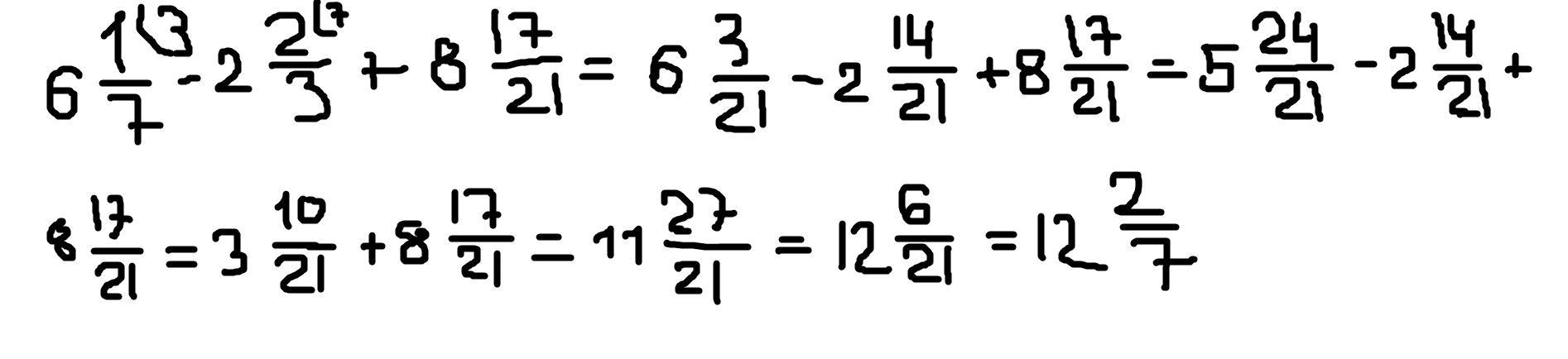
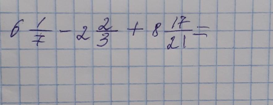
Ответ:
Пошаговое объяснение: в закрепе ↓↓↓
Приложения:

Вас заинтересует
2 года назад
2 года назад
2 года назад
7 лет назад
7 лет назад
9 лет назад
9 лет назад