Решить неравенство. Кто-нибудь может помочь?
Приложения:

antonovm:
(-1 ; корень из 2 ] , без вас мне бы на этом сайте было скучно
Ответы
Ответ дал:
1
Ответ:
Пошаговое объяснение:
Рассмотрим на ОДЗ
При отрицательных значения аргумента очевидно положительна.
При положительных значениях аргумента функции и
возрастающие, поэтому их произведение тоже возрастает, а
— убывает. Значение в правом конце ОДЗ
т. к.
Значит и при положительных аргументах из ОДЗ
Поэтому задача сводится к решению неравенства
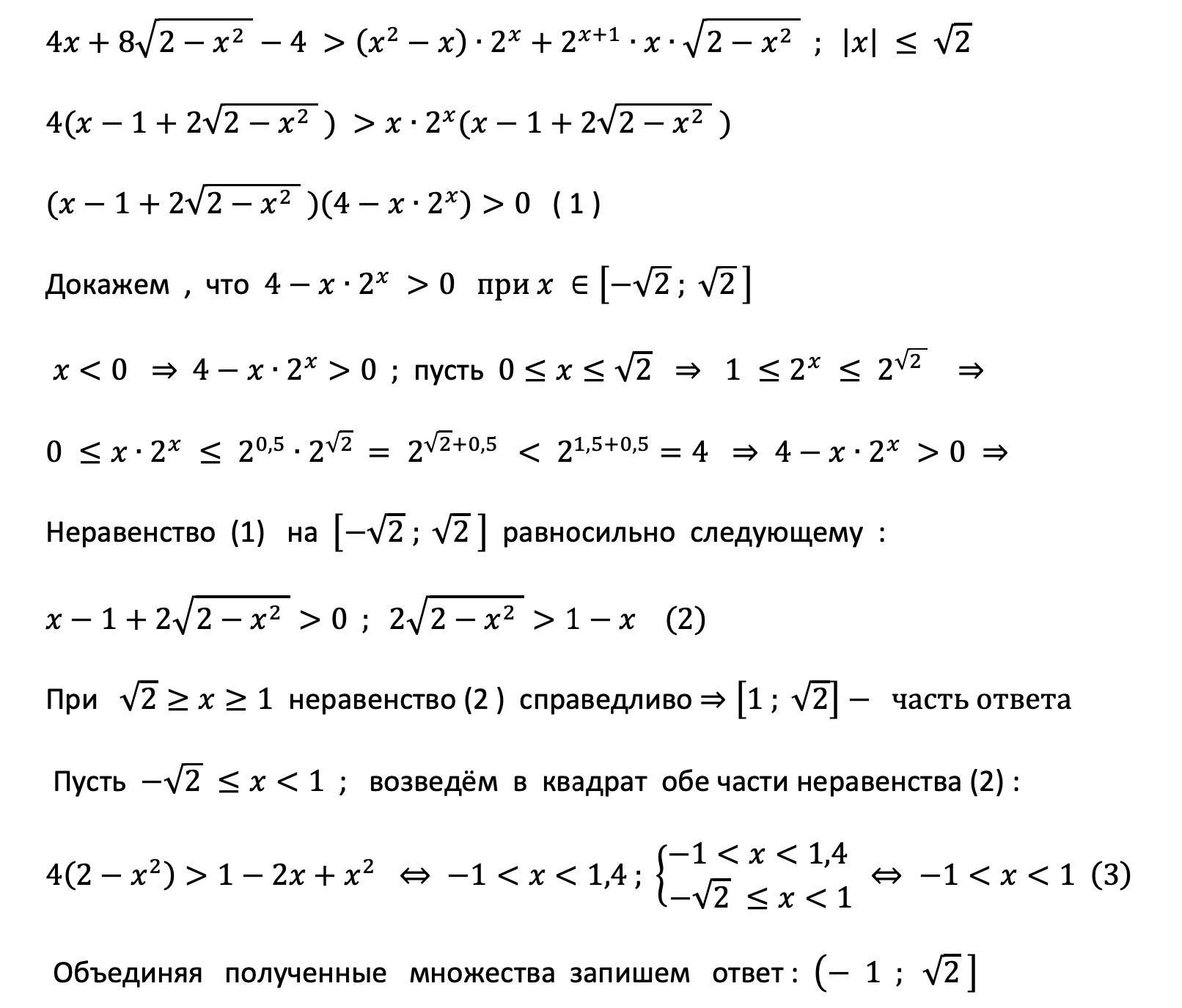
Ответ дал:
1
Ответ:
//////////////////////////////////////////////
Пошаговое объяснение:
Приложения:

Вас заинтересует
2 года назад
2 года назад
2 года назад
2 года назад
7 лет назад
7 лет назад
9 лет назад
9 лет назад