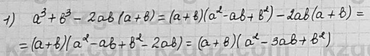
Объясните пожалуйста, как -2ab попало во вторую большую скобку. и куда потом исчезло (a+b) от -2ab(a+b)....
Приложения:

Ответы
Ответ дал:
0
Ответ:
Объяснение:
Множитель (а+в) выносим за скобки и при этом в больших скобках остаются все остальные слагаемые: .
Использовали распределительное свойство умножения относительно вычитания:
- формула (общий множитель
вынесли за скобки)
Ответ дал:
1
Ответ:
Скобки сгруппировать.
Объяснение:
У нас было ( a + b ) * ( a^2 - ab + b^2 ) - 2ab( a+ b) . Тут мы имеем две одинаковые скобки - ( a + b). А теперь мы можем группировать.
( a + b ) ( a^2 - ab + b^2 - 2ab ) - тоесть мы помножили ( a + b) на первую скобку и на вторую. Можно записать вот таким способом ( a + b ) ( a^2 - ab + b^2 + ( - 2ab ) )
Один легкий пример:
c * ( a + b ) + c * ( x + y ) = c ( a + b + x + y )
Если мы по очереди С перемножим с каждым числом, то получается, тот самый ответ
Вас заинтересует
2 года назад
7 лет назад
7 лет назад
9 лет назад