• Предмет: Математика
  • Автор: vikamakarova7656
  • Вопрос задан 3 года назад

Поможіть БУДЬ ЛАСКА СКРОЧНО ТРЕБА ​

Приложения:

Ответы

Ответ дал: TutorOnline
1

Ответ: х=10

Пошаговое объяснение: в закрепе...

Приложения:

vikamakarova7656: Дякую
TutorOnline: ^-^
vikamakarova7656: Топ просто
Ответ дал: iramazurk
2

Пошаговое объяснение:

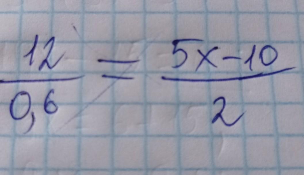
12/0,6 = (5х - 10)/2

0,6 * (5х - 10) = 12 * 2

3х - 6 = 24

3х = 24 + 6

3х = 30

х = 30 : 3

х = 10


vikamakarova7656: Дуже дякую
Вас заинтересует