• Предмет: Физика
  • Автор: dragontry1337
  • Вопрос задан 3 года назад

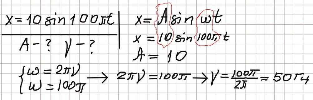
Коливання відбувається за законом х = 10sin 100Пt. Визначити амплітуду і частоту.​

Ответы

Ответ дал: zybkov1950
4

Відповідь:   10        50 Гц

Пояснення:

Приложения:
Вас заинтересует