• Предмет: Математика
  • Автор: lixbun
  • Вопрос задан 3 года назад

ПОЖАЛУЙСТА ПОМОГИТЕ УМОЛЯЮ!!! (СРОЧНО!!!)

Приложения:

Ответы

Ответ дал: GoldenVoice
1

Ответ:

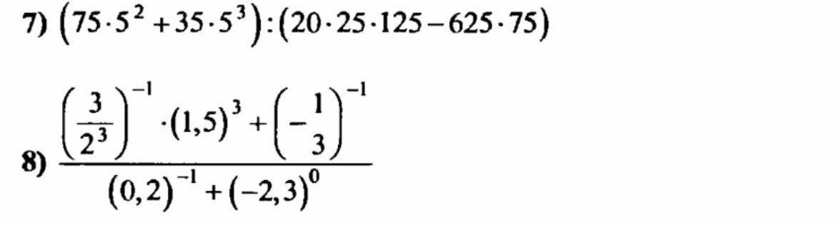
7) 0,4;

8) 1

Пошаговое объяснение:

7)

(75 \cdot {5^2} + 35 \cdot {5^3}):(20 \cdot 25 \cdot 125 - 625 \cdot 75)\\\\1)\,\,75 \cdot {5^2} + 35 \cdot {5^3} = (3 \cdot {5^2}) \cdot {5^2} + (7 \cdot 5) \cdot {5^3} = {5^4}(3 + 7) = {5^4} \cdot 10 = {5^4} \cdot 5 \cdot 2 = {5^5} \cdot 2;\\\\2)\,\,20 \cdot 25 \cdot 125 - 625 \cdot 75 = (4 \cdot 5) \cdot {5^2} \cdot {5^3} - {5^4} \cdot ({5^2} \cdot 3) = {5^6}(4 - 3) = {5^6};\\\\3)\,\,\displaystyle\frac{{{5^5} \cdot 2}}{{{5^6}}} = \displaystyle\frac{2}{5} = 0{,}4.

8)

\displaystyle\frac{{{{\left( {\displaystyle\frac{3}{{{2^3}}}} \right)}^{ - 1}} \cdot {{(1{,}5)}^3} + {{\left( { - \displaystyle\frac{1}{3}} \right)}^{ - 1}}}}{{{{(0{,}2)}^{ - 1}} + {{( - 2{,}3)}^0}}} = \displaystyle\frac{{\displaystyle\frac{{{2^3}}}{3} \cdot {{\left( {\displaystyle\frac{3}{2}} \right)}^3} - 3}}{{{{\left( {\displaystyle\frac{1}{5}} \right)}^{ - 1}} + 1}} = \displaystyle\frac{{{{3}^2} - 3}}{{5 + 1}} =\displaystyle\frac{6}{6}}=1.

Вас заинтересует