ВИш мат 1 курс срочно помогите )) кто может
Приложения:

Alexandr130398:
-2x+2y+z+4 = 0
Ответы
Ответ дал:
0
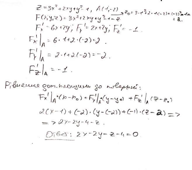
дивіться фото..........................
Приложения:

Вас заинтересует
2 года назад
2 года назад
2 года назад
7 лет назад
7 лет назад
9 лет назад