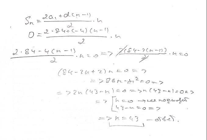
В арифметической прогрессии первый член равен 84, а разность равна -4.
Сколько последовательных членов этой прогрессии, начиная с первого, надо сложить, чтобы получить сумму, равную 0?
yevheniiavz:
ещё надо?
Ответы
Ответ дал:
1
n=0 не подходит по смыслу задачи (ведь написано «начиная с первого»).
Ответ: 43 члена.
Ответ дал:
0
...................................
Приложения:

Вас заинтересует
2 года назад
2 года назад
7 лет назад
9 лет назад