• Предмет: Алгебра
  • Автор: Tashkentkim
  • Вопрос задан 3 года назад

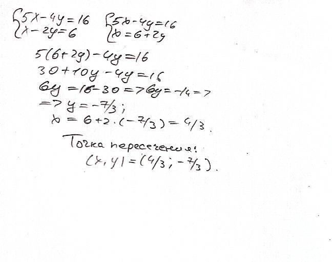
Найдите координаты точки пересечения графиков уравнения, не выполняя построения

Приложения:

yevheniiavz: напишите текстом уравнения графиков тут
Tashkentkim: 5x-4y = 16 и x-2y=6
Tashkentkim: Держите

Ответы

Ответ дал: yevheniiavz
0

...............................

Приложения:
Вас заинтересует