Ответы
Ответ дал:
1
Відповідь: Див. додаток
Пояснення:
Приложения:

Ответ дал:
1
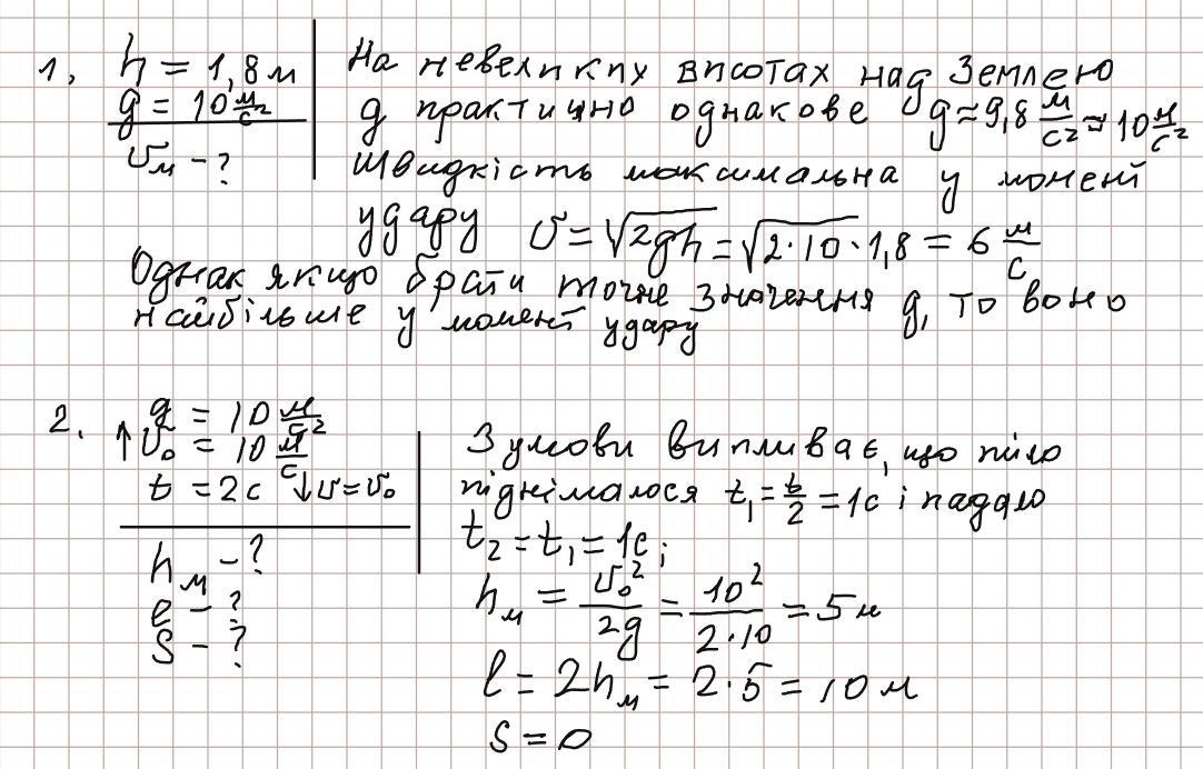
Ответ: 10м/с²; 6м/с; 20м; 40м; 0м
Объяснение:
Дано:
h=1,8м
g=10м/с²
-------------
g-?; V-?
На протяжении всего пути падения шарика ускорение будет одинаковым и равным 10м/с²
Наибольшая скорость шарика будет в момент его падения и равна:
V=√(2gh)=√(2*1,8*10)=6м/с
Дано:
Vo=10м/с
g=10м/с²
t=2с
-----------
h-?; L-?; S-?
Максимальная высота подъема стрелы равна:
h=gt²/2=10*2²/2=20м
Путь стрелы равен:
L=2h=2*20=40м
Перемещение тела равно нулю, потому что стрела вернулась в точку начала полета:
S=0м
Вас заинтересует
2 года назад
2 года назад
2 года назад
7 лет назад
9 лет назад