Ответы
Ответ дал:
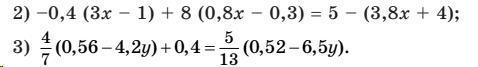
1
Відповідь:розв'язання завдання додаю
Пояснення:
Приложения:

Вас заинтересует
2 года назад
2 года назад
2 года назад
7 лет назад
9 лет назад