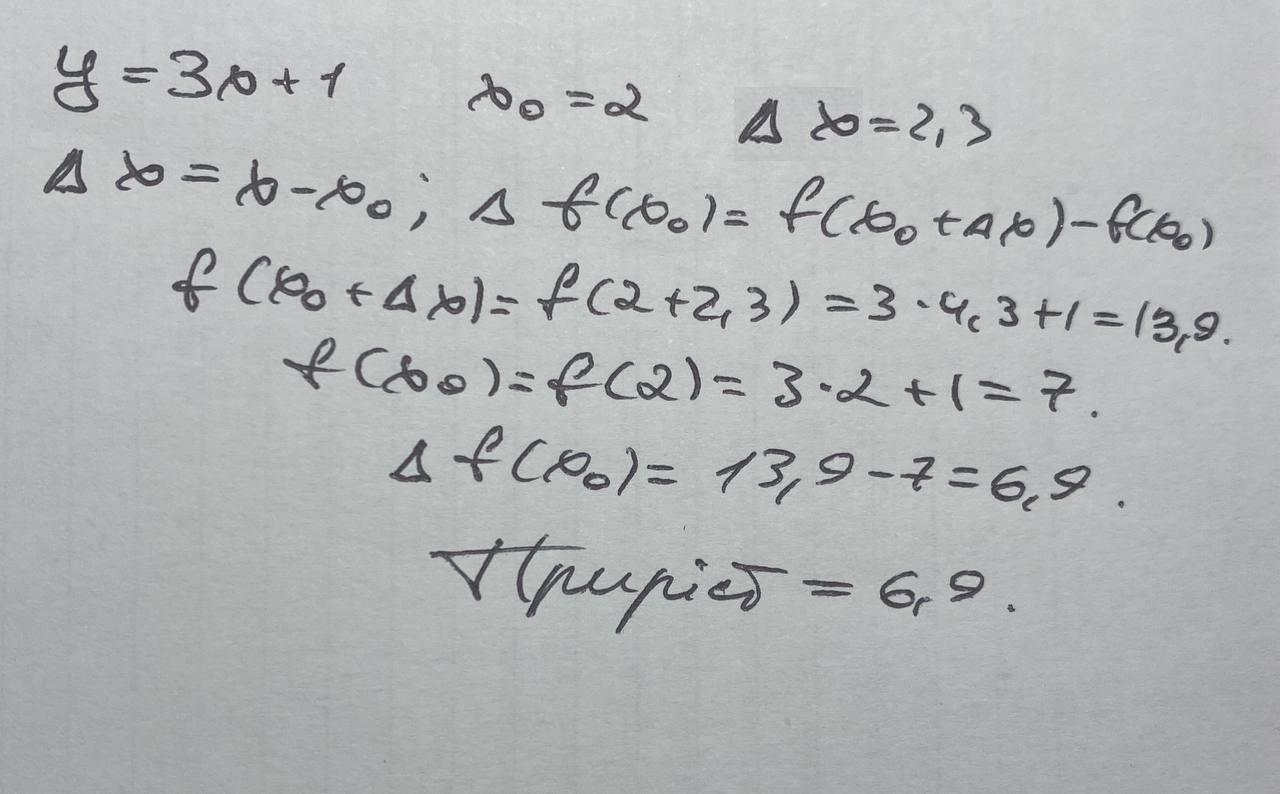
знайдіть приріст аргументу і приріст функції
у=3х+1
х0=2
x=2,3
yevheniiavz:
в x=2,3 ошибки нет? возможно вы имели в виду dx=2,3?
Ответы
Ответ дал:
1
дивіться фото.....................
Приложения:

Вас заинтересует
2 года назад
2 года назад
2 года назад
7 лет назад
7 лет назад
9 лет назад