Ответы
Ответ дал:
1
Ответ:
0
Объяснение:
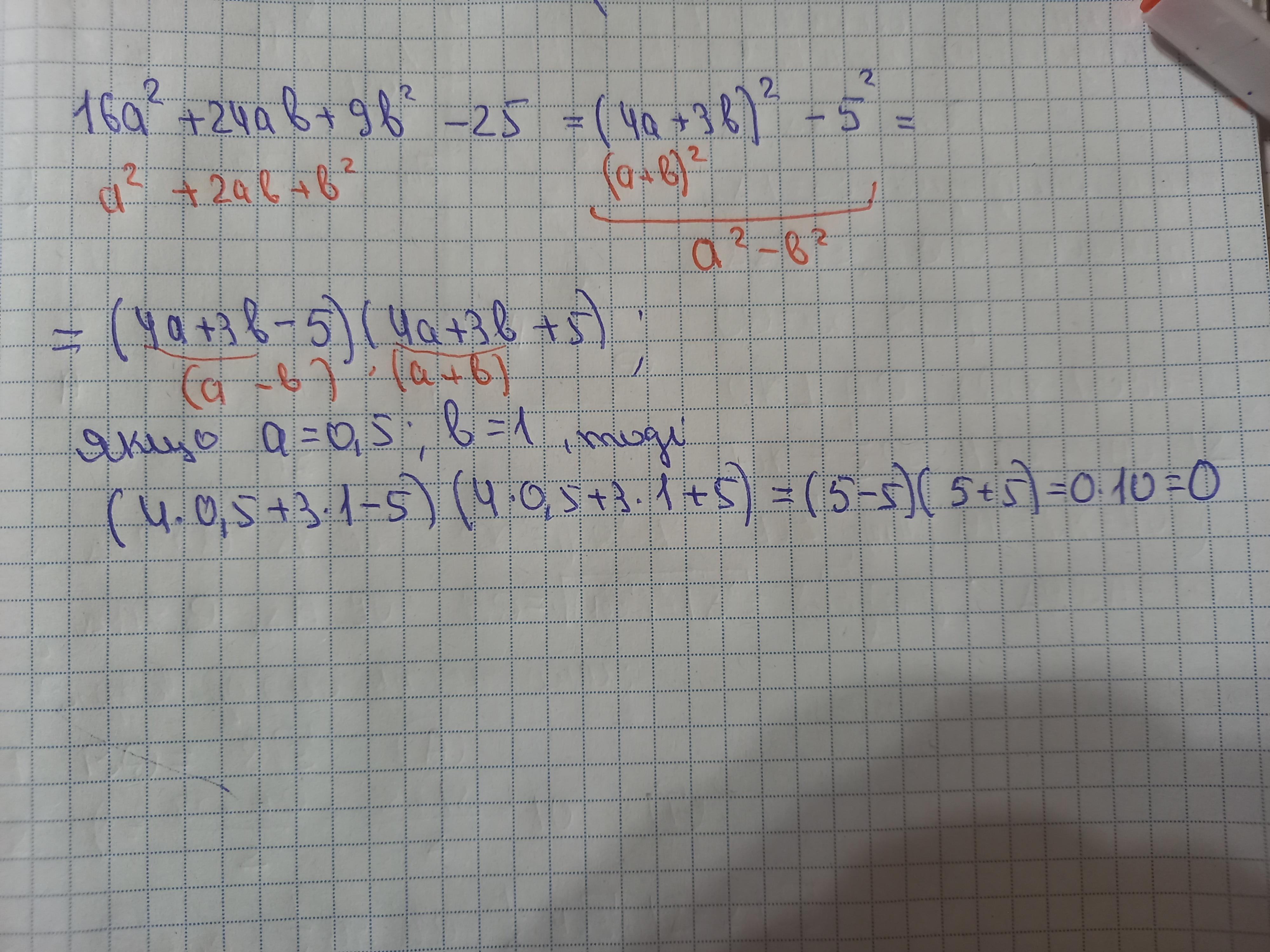
Записати вираз 16а²+24ab+9b²-25 у вигляді добутку і знайти його значення, якщо а=0,5, b=1.
Треба скористатися формулами скороченого множення:
Тоді:
якщо а=0,5, b=1:
Ответ дал:
0
Відповідь: 0
Пояснення: фото
Приложения:

Вас заинтересует
2 года назад
2 года назад
2 года назад
2 года назад
7 лет назад
7 лет назад
9 лет назад