Ответы
Ответ дал:
0
Объяснение:
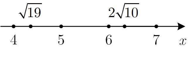
, поэтому
,
, причем, т. к. 19 ближе к 16, чем к 25, то и
ближе к 4, чем к 5.
;
,
,
, причем т. к. 40 ближе к 36, чем к 25, то и
ближе к 6, чем к 7.
Приложения:

Вас заинтересует
2 года назад
2 года назад
2 года назад
2 года назад
7 лет назад
7 лет назад
9 лет назад