Ответы
Ответ дал:
2
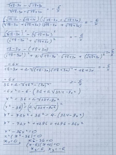
Ответ:
-6; 6
Объяснение:
Приложения:


Вас заинтересует
2 года назад
2 года назад
7 лет назад
7 лет назад
9 лет назад
9 лет назад