Ответы
Ответ дал:
2
Ответ:
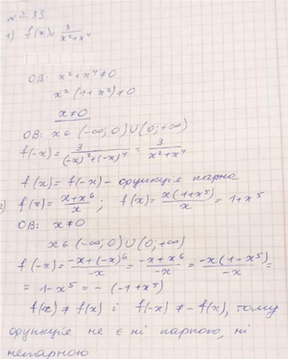
См. фото
Объяснение:
Приложения:



Вас заинтересует
2 года назад
2 года назад
2 года назад
7 лет назад
7 лет назад
9 лет назад