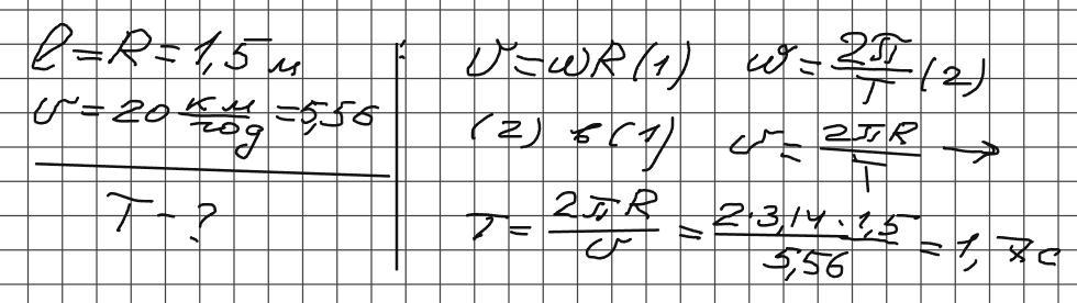
Хлопчик обертає камінь на мотузці довжина якої 1.5 м. Визначте період обертання каменю, якщо його середня швидкість 20 км\год. Т=1.7 с
Ответы
Ответ дал:
3
Відповідь: 1,7 с
Пояснення:
Приложения:

Вас заинтересует
2 года назад
2 года назад
7 лет назад
9 лет назад