• Предмет: Алгебра
  • Автор: Novaya22
  • Вопрос задан 3 года назад

100 баллов! срочно! решить уравнение с параметром
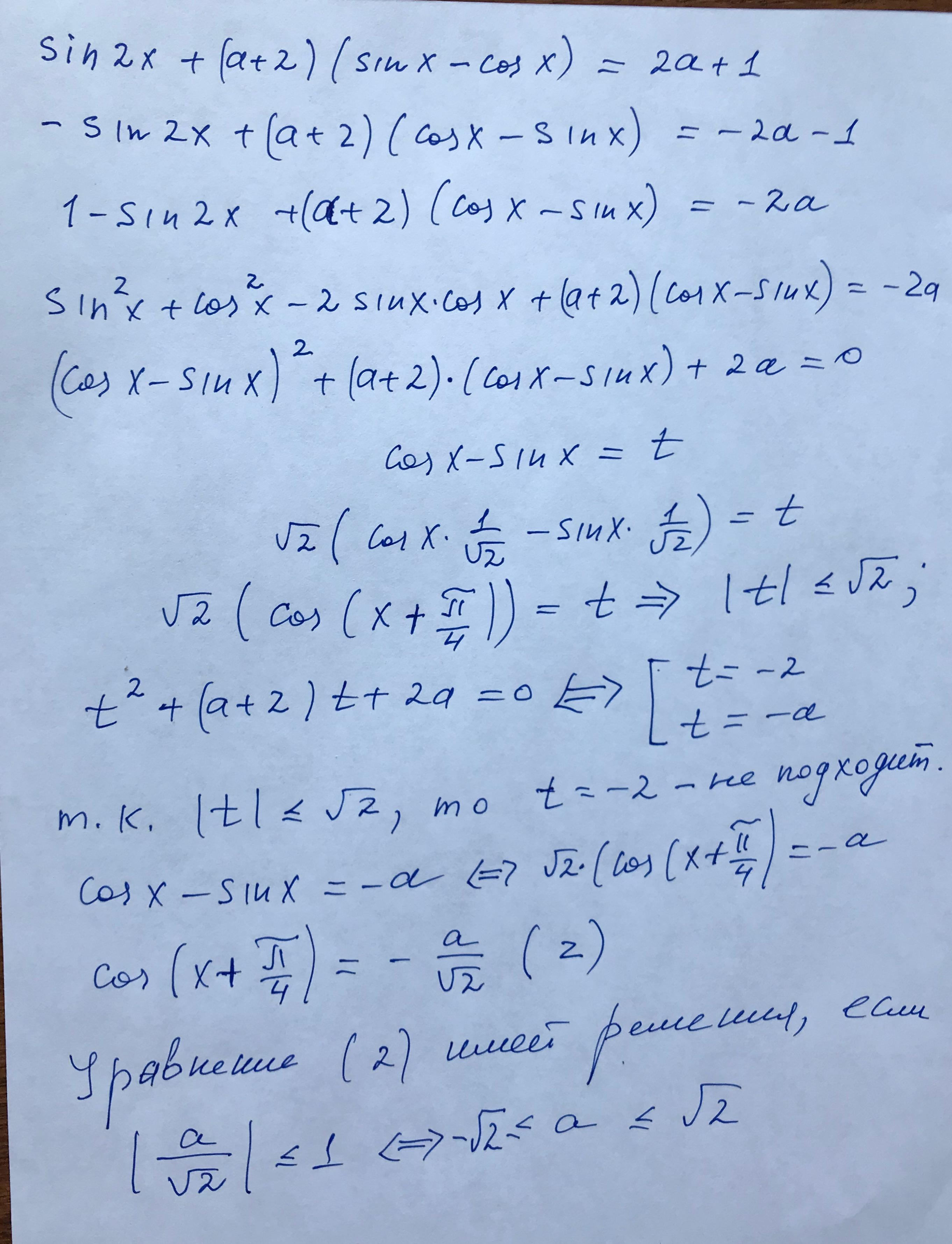
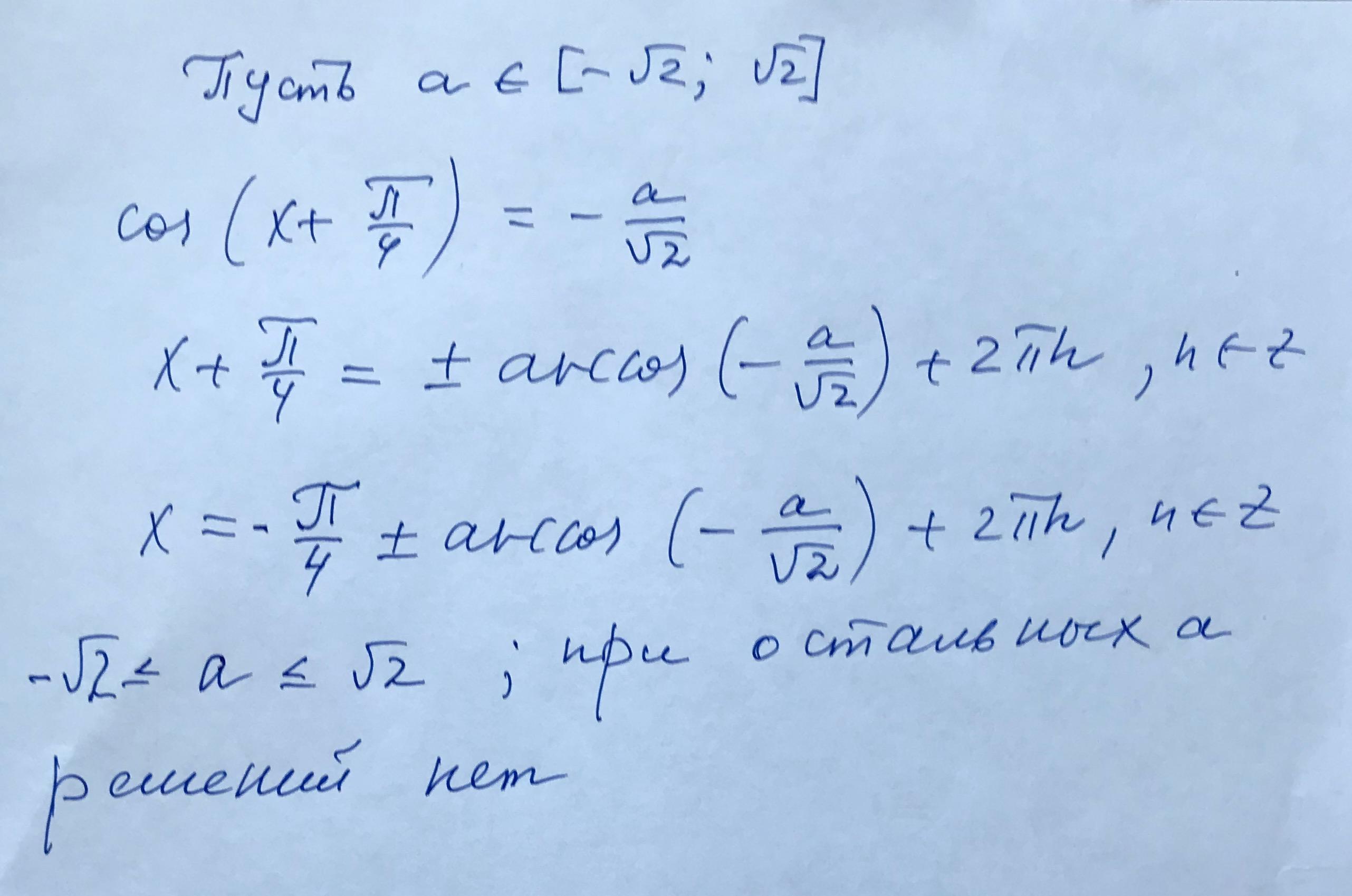
 \sin(2x)  + (a + 2)( \sin(x)  -  \cos(x) ) = 2a + 1

Ответы

Ответ дал: antonovm
3

Ответ:

.................................................

Объяснение:

Приложения:

Novaya22: я про то, что с cos(x*1/√2)=cosx*cos1)√2
Novaya22: в решении же именно такой порядок, а не наоборот
antonovm: cosx - sinx = t ; корень из2 ( cosx *cospi/4 - sinx*sinpi/4) = t ; корень из2( cos (x +pi/4) = t ; вот такая последовательность , просто один шаг я пропустил , считая его очевидным
Novaya22: тоесть cos(a*b) расписывается как cosa*cosb?
antonovm: нет такой формулы ! , cosx *cospi/4 - sinx*sinpi/4 = cos ( x + pi/4)
antonovm: я применяю формулу для косинуса суммы
Novaya22: тогда как с cos(x*1/✓2) получилось cosx*cos1/√2?
Novaya22: ещё один шаг перед формулой суммы
selfcare39: здравствуйте, помогите пожалуйста с алгеброй задание у меня в профиле отмечу 5 звёзд и сделаю лучший ответ
antonovm: cosx * 1/(корень из 2 ) = cosx * cos pi/4 , больше объяснять не буду , я не виноват , что вы берётесь за решение примеров с параметрами , не зная при этом элементарной тригонометрии . И ещё зачем флажок поставили ? Больше примеров для вас решать не буду . Решение верное
Вас заинтересует