• Предмет: Алгебра
  • Автор: Аноним
  • Вопрос задан 3 года назад

Помогите решить!!!!И если вам так удобно то можете написать только их ответы!!!…ПОМОГИТЕ!!!!!!!!!!!

Приложения:

Ответы

Ответ дал: TamilaMaria
1

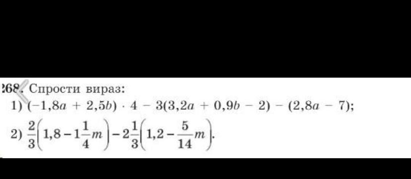
1) \: ( - 1.8a + 2.5b) \times 4 -  \\  - 3(3.2a + 0.9b - 2) - (2.8a - 7)  \\ = - 4 \times 1.8a + 4 \times 2.5b  -  \\  - 3 \times 3.2a -   3 \times  0.9b  + 3 \times  2 -  \\ - 2.8a  + 7  = \\  =  - 7.2a + 10b - 9.6a - 2.7b + 6  -  \\ - 2.8a + 7 =  \\  =  - 19.6a + 7.3b + 13

2) \:  \frac{2}{3} (1.8 - 1  \frac{1}{4} m) - 2 \frac{1}{3} (1.2 -  \frac{5}{14} m) =  \\  = \frac{2}{3}  \times 1.8 -  \frac{2}{3} \times \frac{5}{4} m -  \\  -  \frac{7}{3}  \times 1.2  +    \frac{7}{3} \times  \frac{5}{14} m=  \\  = 2 \times 0.6 -  \frac{5}{6} m - 7 \times 0.4 +  \frac{5}{6}  m=  \\  = 1.2 - 2.8 =  - 1.6

Вас заинтересует