• Предмет: Алгебра
  • Автор: rustamovarobiaaa0927
  • Вопрос задан 3 года назад

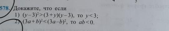
докажи , что если 1) (у-3)²>(3+у)(у-3)​

Приложения:

Ответы

Ответ дал: s4ndstrm
2

Ответ:

решение в фотографии

===================

Приложения:
Ответ дал: GoldenVoice
0

Объяснение:

Применим формулы

{(a \pm b)^2} = {a^2} \pm 2ab + {b^2} и {a^2} - {b^2} = (a - b)(a + b).

1)

{(y - 3)^2} > (3 + y)(y - 3);\\\\{(y - 3)^2} > (y + 3)(y - 3);\\\\{y^2} - 6y + 9 > {y^2} - 9;\\\\ - 6y > - 18;\\\\y < 3.

2)

{(3a + b)^2} < {(3a - b)^2};\\\\9{a^2} + 6ab + {b^2} < 9{a^2} - 6ab + {b^2};\\\\12ab < 0;\\\\ab < 0.

Вас заинтересует
2 года назад