• Предмет: Физика
  • Автор: vasiliymishnev8
  • Вопрос задан 3 года назад

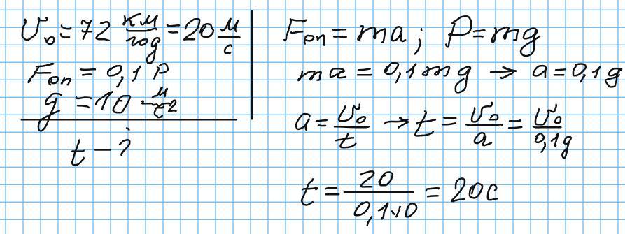
3. Автомобіль рухається по прямолінійній ділянці шляху зі швидкістю
V0 = 72 км/год. При гальмуванні розвивається сила опору руху, рівна 0,1 ваги автомобіля. Знайти час гальмування

Ответы

Ответ дал: zybkov1950
0

Відповідь: 20 с

Пояснення:

Приложения:
Вас заинтересует