• Предмет: Алгебра
  • Автор: sofiaponl229
  • Вопрос задан 3 года назад

40 баллов
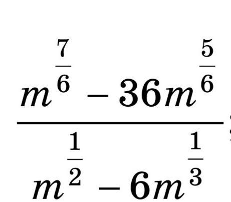
сократите дробь

Приложения:

Ответы

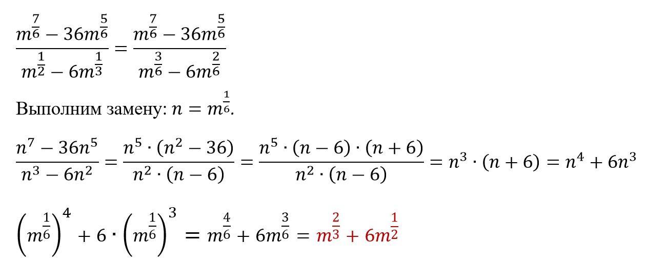
Ответ дал: 25hjoerf10
1

Ответ: m^{\frac{2}{3} } +6m^{\frac{1}{2} }

Объяснение:

Решение на фото

Приложения:
Вас заинтересует