• Предмет: Алгебра
  • Автор: jobmainac
  • Вопрос задан 3 года назад

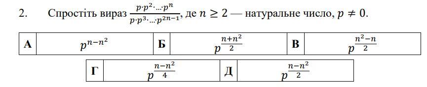
ПРОШУ, ПОМОГИТЕ с задание на фото

Приложения:

Ответы

Ответ дал: GoldenVoice
0

Ответ:

Д)

Объяснение:

Так как

{a^m} \cdot {a^n} = {a^{m + n}},\ \displaystyle\frac{{{a^m}}}{{{a^n}}} = {a^{m - n}},

выражение можно переписать

\displaystyle\frac{{p \cdot {p^2} \cdot  \ldots  \cdot {p^n}}}{{p \cdot {p^3} \cdot  \ldots  \cdot {p^{2n - 1}}}} = \displaystyle\frac{{{p^{1 + 2 +  \ldots  + n}}}}{{{p^{1 + 3 +  \ldots  + 2n - 1}}}}.

Сумма 1 + 2 +  \ldots  + n — арифметическая прогрессия с {a_1} = 1, d = 1 и количеством членов, равным n. Тогда

1 + 2 +  \ldots  + n = \displaystyle\frac{{1 + n}}{2} \cdot n = \displaystyle\frac{{{n^2} + n}}{2}.

Сумма 1 + 3 +  \ldots  + 2n - 1 — арифметическая прогрессия с {a_1} = 1, d = 2 и количеством членов, равным n. Тогда

1 + 3 +  \ldots  + 2n - 1 = \displaystyle\frac{{1 + 2n - 1}}{2} \cdot n = {n^2}.

Значит

\displaystyle\frac{{{p^{1 + 2 +  \ldots  + n}}}}{{{p^{1 + 3 +  \ldots  + 2n - 1}}}} = \displaystyle\frac{{{p^{\frac{{{n^2} + n}}{2}}}}}{{{p^{{n^2}}}}} = {p^\frac{{{n^2} + n}}{2} - {n^2}}} = {p^{\frac{{n - {n^2}}}{2}}}.


tamarabernukho: ...
tamarabernukho: https://ibb.co/x8sNdxj
GoldenVoice: Упс :(
Вас заинтересует