• Предмет: Математика
  • Автор: KOKSTER
  • Вопрос задан 3 года назад

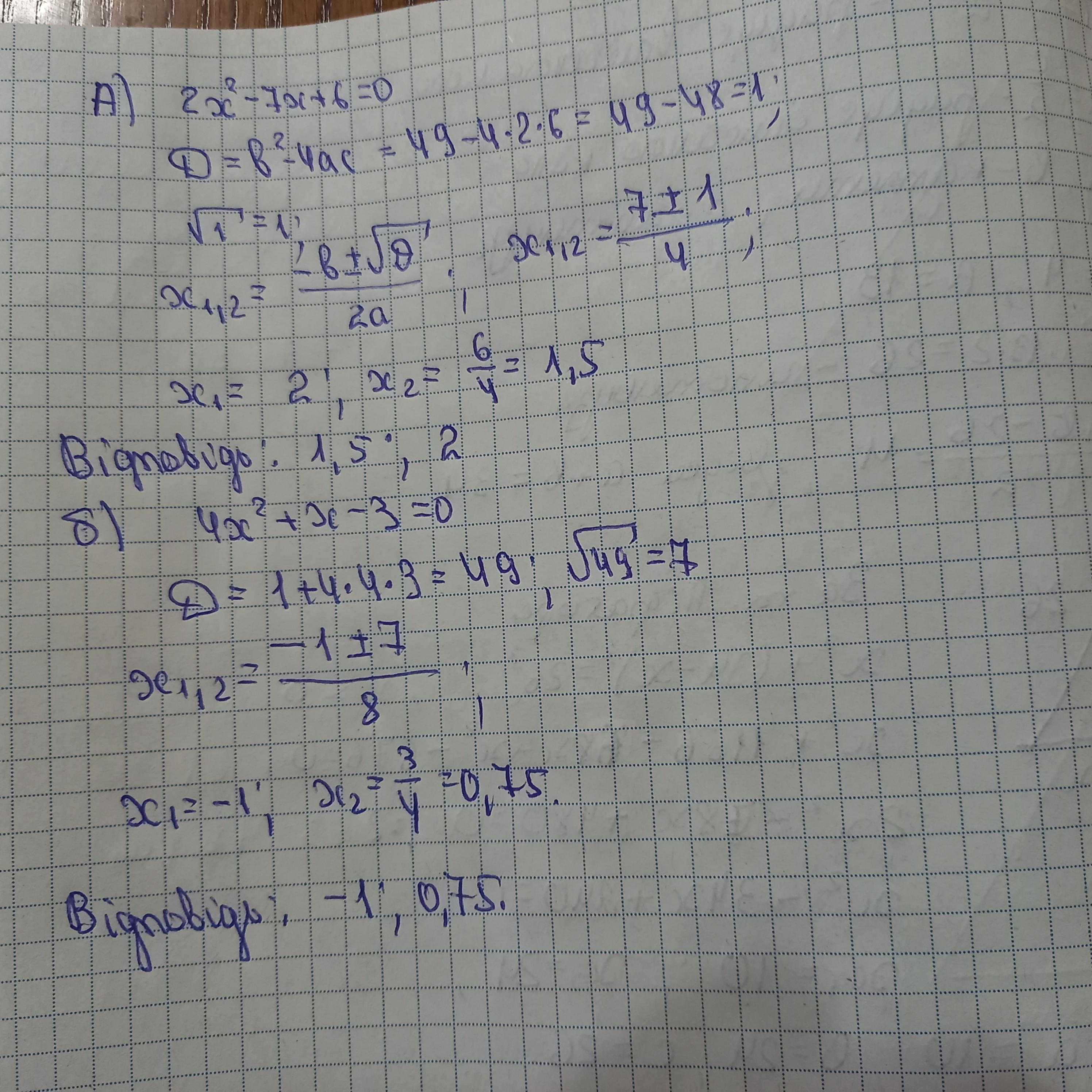
а) 2x^2-7x+6=0
б) 4x^2+x-3=0
Розв'язати при помощи діскреминанта


sd950: Поставьте, пожалуйста, корону - лучший ответ. Для меня это очень важно, спасибо.

Ответы

Ответ дал: sd950
1

Ответ:

1. x=2\ \lor\ x=1,5.

2. x=0,75\ \lor\ x=-1.

Пошаговое объяснение:

1.
\Delta=\sqrt{b^{2}-4\cdot a\cdot c} \\a=2; b=-7; c=6\\\Delta=\sqrt{(-7)^{2}-4\cdot2\cdot6}\\\Delta=\sqrt{49-8\cdot6}\\\Delta=\sqrt{49-48}\\\Delta=\sqrt{1}\\\Delta=1\\x_{1,2}=\frac{-b\pm\Delta}{2\cdot a}\\x_1=\frac{-(-7)+1}{2\cdot2}\ \ \ x_2=\frac{-(-7)-1}{2\cdot2}\\x_1=\frac{7+1}{4}\ \ \ \ \ \ \ \ \ x_2=\frac{7-1}{4}\\x_1=\frac{8}{4}\ \ \ \ \ \ \ \ \ \ \ \ x_2=\frac{6}{4}\\x_1=2\ \ \ \ \ \ \ \ \ \ \ \ x_2=1,5

2.
\Delta=\sqrt{b^{2}-4\cdot a\cdot c} \\a=4; b=1; c=-3\\\Delta=\sqrt{1^{2}-4\cdot4\cdot(-3)}\\\Delta=\sqrt{1-16\cdot(-3)}\\\Delta=\sqrt{1+48}\\\Delta=\sqrt{49}\\\Delta=7\\x_{1,2}=\frac{-b\pm\Delta}{2\cdot a}\\x_1=\frac{-1+7}{2\cdot4}\ \ \ x_2=\frac{-1-7}{2\cdot4}\\x_1=\frac{6}{8}\ \ \ \ \ \ \ \ x_2=\frac{-8}{8}\\x_1=0,75\ \ \ \ x_2=-1\\

Ответ дал: aarr04594
1

Відповідь: фото

Покрокове пояснення:

Приложения:
Вас заинтересует