• Предмет: Алгебра
  • Автор: QwertyLokom2
  • Вопрос задан 3 года назад

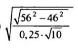
Решите с помощью формулы сокращенного умножения

Приложения:

Ответы

Ответ дал: GoldenVoice
2

Ответ:

2\sqrt[4]{{102}}

Объяснение:

\sqrt {\displaystyle\frac{{\sqrt {{{56}^2} - {{46}^2}} }}{{0,25 \cdot \sqrt {10} }}}  = \sqrt {\displaystyle\frac{{\sqrt {(56 - 46)(56 + 46)} }}{{\displaystyle\frac{1}{4} \cdot \sqrt {10} }}}  = \sqrt {\displaystyle\frac{{\sqrt {10 \cdot 102} }}{{\displaystyle\frac{1}{{{2^2}}} \cdot \sqrt {10} }}}  = \sqrt {{2^2}\sqrt {102} }  = 2\sqrt[4]{{102}}.

Вас заинтересует