В июле планируется взять кредит в банке на некоторый срок (целое количество лет). Условия его возврата таковы:- каждый январь долг возрастает на r% по сравнению с концом предыдущего года, причем r в пять раз больше номера текущего года; для некоторого момента времени номером текущего года будем называть количество лет полных лет, прошедших с момента взятия кредита, увеличенное на единицу;с февраля по июнь необходимо выплатить часть долга;в июле каждого года долг должен быть на одну и ту же сумму меньше долга на июль предыдущего года. На сколько лет взят кредит, если известно, что переплата по кредиту составила 35% от взятой изначально суммы?
Решение можно кратко
Ответы
Ответ:
5
Пошаговое объяснение:
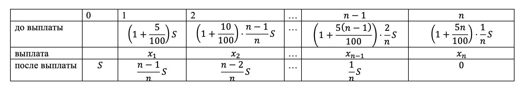
Составим таблицу в соответствии с условием. Введём в ней 3 строки (январь — период до выплаты, когда долг увеличивается на r%, февраль-июнь — период выплаты, июль-декабрь — период после выплаты, то, каким долг должен стать) и n+1 столбец (от нулевого года — года взятия кредита — до n-го — года полного погашения).
Пусть S — сумма долга. Тогда в январе она увеличится на r%, то есть в раз. Для некоторого i-го года этот коэффициент будет равен
. Поскольку долг каждый раз в июле уменьшается на одно и то же число, то эти уменьшающие части равны, и равны они
(то есть в первый год долг равен
, во второй —
и так далее, пока долг не станет равным нулю). В таблице выплаты пока оставим неизвестными. В соответствии с этим заполним таблицу (см. прикреплённое фото).
Известно, что переплата по кредиту составила 35%, то есть сумма выплат в 1,35 раз больше суммы кредита. Это можно записать следующим образом: . Каждая выплата — это разность между долгом в январе и долгом в июле, то есть
Преобразуем это выражение:
Подставим i-ю выплату в уравнение с суммой:
Поскольку суммирование идёт по переменной i, S и n мы считаем константами и можем выносить их за знак суммы:
Смыслу задачи удовлетворяет только n = 5 — на столько лет и взяли кредит.
