• Предмет: Математика
  • Автор: stasyagovdik2
  • Вопрос задан 3 года назад

В бесконечно геом. прогр. со знаменателем |q| меньше 1, сумма первых трёх членов равна 10,5, а сумма прогрессии - 12. найти b1, q.

Ответы

Ответ дал: yevheniiavz
0

b1=6; q=0,5.

...........................

Приложения:
Ответ дал: dtnth
0

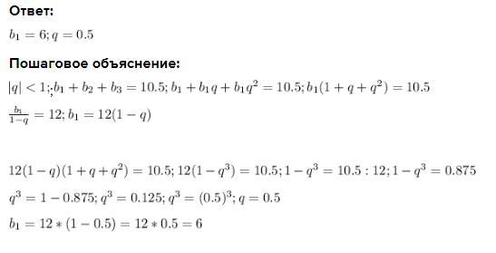
Ответ:

b_1=6; q=0.5

Пошаговое объяснение:

|q|<1;;b_1+b_2+b_3=10.5;b_1+b_1q+b_1q^2=10.5;b_1(1+q+q^2)=10.5

\frac{b_1}{1-q}=12;b_1=12(1-q)

12(1-q)(1+q+q^2)=10.5;12(1-q^3)=10.5;1-q^3=10.5:12;1-q^3=0.875

q^3=1-0.875;q^3=0.125;q^3=(0.5)^3;q=0.5

b_1=12*(1-0.5)=12*0.5=6

Формула разности кубов

a^3-b^3=(a-b)(a^2+ab+b^2)

Приложения:
Вас заинтересует