• Предмет: Математика
  • Автор: Lisichka35
  • Вопрос задан 3 года назад

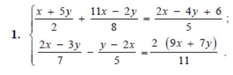
Решить систему уравнений

Приложения:

Ответы

Ответ дал: GoldenVoice
0

Ответ:

(-24;\, 12)

Пошаговое объяснение:

Чтобы избавиться от дробей, умножим каждое из уравнений на наименьшее общее кратное знаменателей входящих в него дробей, т. е. первое уравнение на 40, второе уравнение — на 385.

\left\{ \begin{array}{l}20(x + 5y) + 5(11x - 2y) = 8(2x - 4y + 6),\\55(2x - 3y) - 77(y - 2x) = 35 \cdot 2(9x + 7y);\end{array} \right.\\\\\left\{ \begin{array}{l}20x + 100y + 55x - 10y = 16x - 32y + 48,\\110x - 165y - 77y + 154x = 630x + 490y;\end{array} \right.\\\\\left\{ \begin{array}{l}59x + 122y = 48,\\366x + 732y = 0;\end{array} \right.\\

\left\{ \begin{array}{l}59x + 122y = 48,\\x =  - 2y;\end{array} \right.\\\\\left\{ \begin{array}{l} - 118y + 122y = 48,\\x =  - 2y;\end{array} \right.\\\\\left\{ \begin{array}{l}4y = 48,\\x =  - 2y;\end{array} \right.\\\\\left\{ \begin{array}{l}y = 12,\\x =  - 24.\end{array} \right.

Вас заинтересует