• Предмет: Физика
  • Автор: sashasemenenko29
  • Вопрос задан 3 года назад

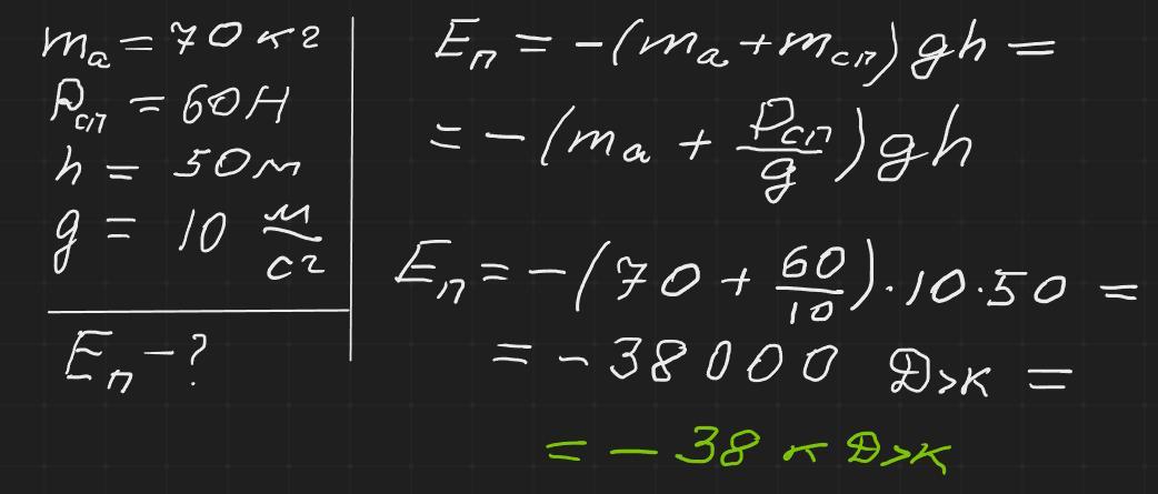
Обчисліть потенціальну енергію аквалангіста масою 70 кг зі спорядженням вагою 60 Н на глибині 50 м в тихому океані. Відповідь дайте в кДж

Ответы

Ответ дал: zinovicgrigorij
1

Ответ: -38кДж

Объяснение:

Дано:

m=70кг

Р=60Н

h=-50м

g=10Н/кг

---------------

Еп-?

Еп=mgh=(mh+Р)*h=(70*10+60)*(-50)=-38000Дж=-38кДж

Ответ дал: zybkov1950
0

Відповідь:  - 38 кДж

Пояснення:  потенціальна енергія Еп залежить від вибору "нульового рівня" і Еп>0, якщо тіло або група тіл знаходиться вище  "нульового рівня" і Еп<0, якщо тіло або група тіл знаходиться нижче  "нульового рівня".

У нашому випадку за "нульовий рівень" приймають поверхню Тихого океану, а тому Еп<0

Приложения:
Вас заинтересует