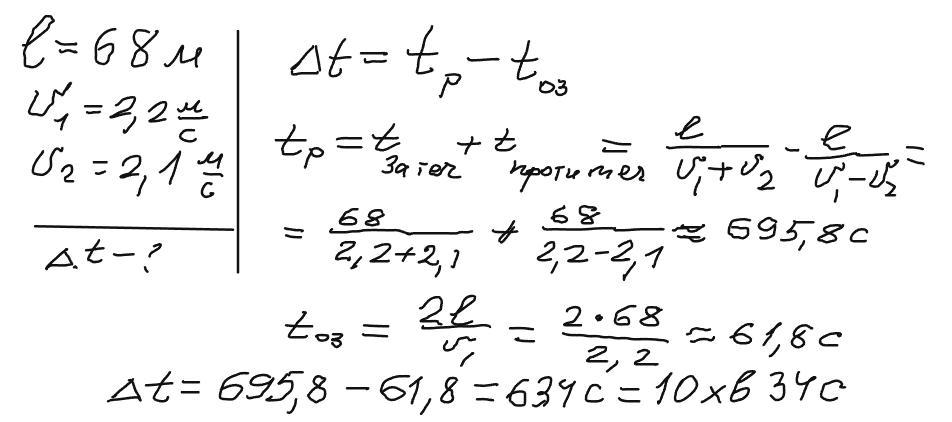
Судну (човну, катеру тощо) необхідно подолати відстань 68 м туди і назад один раз річкою, а другий озером. Швидкість течії води 2,1 м/с .Швидкість судна відносно води 2,2 м/с.На скільки більше часу займе рух річкою, ніж озером?
Ответы
Ответ дал:
1
Відповідь: ≈ 10 хв 34 с
Пояснення:
Приложения:

zlm01:
помогите пожалуйста не могу решить =(. Деревянный брусок
Вас заинтересует
2 года назад
2 года назад
2 года назад
2 года назад
7 лет назад
7 лет назад
9 лет назад